科研速递丨行人头部冲击风窗玻璃裂纹扩展研究进展

行人包含头型冲击器碰撞挡风玻璃裂纹扩展的数值和理论研究

近年来,中国的汽车工业快速发展,截至2023年6月,中国的汽车保有量已超过3.2亿辆。汽车数量的增加也导致了交通事故中汽车碰撞的增加。研究显示,行人头部与汽车挡风玻璃碰撞是交通事故中行人死亡的主要原因之一。为了减少交通事故中行人的伤亡,近年来出台了严格的要求。其中一个关键方面是对假人行人头部与汽车挡风玻璃进行碰撞测试。在碰撞测试中,头部受伤的风险常用头部伤害标准(HIC)值来量化。挡风玻璃中的裂纹发展直接影响了碰撞所造成的加速度,对头部受伤的结果有重要影响。

鉴于此,河北工业大学新能源汽车团队研究挡风玻璃中的裂纹传播模拟,以准确获取加速度曲线,计算HIC。为准确计算头模的加速度和确定挡风玻璃的断裂模式,本文将前挡风玻璃作为研究对象,进行行人保护头部冲击测试,以确定挡风玻璃的动态响应及其对头部受伤的影响因素。同时,建立了挡风玻璃冲击下的理论模型,推导峰值加速度的数学表达式,便于HIC的预测和快速选择与设计挡风玻璃。此外,为了对挡风玻璃裂纹传播进行详细分析并更准确获得HIC值,建立了基于粒子动力学理论的有限元模型,以研究冲击导致的挡风玻璃损伤模式,为提高交通事故中行人的保护提供技术支持,并为设计汽车中的行人安全保护措施提供了指导。

该工作近日发表在工程技术和力学类顶级期刊《International Journal of Impact Engineering》,题为“Numerical and Theoretical Investigation of Crack Propagation in the Windshield in Collision with a Dummy Headform”。论文的第一作者为开云官方网页版官网陈光副教授,通讯作者为景国玺研究员。该研究得到了中汽研(天津)汽车工程研究院有限公司支持。

行人保护头部冲击试验

依据 C_NCAP 规定的行人头部碰撞试验要求进行。试验系统主要包括发射装置、成人头部模块、光电测速系统、高速摄像机等。第Ⅰ阶段:产生弹性变形,玻璃没有损伤,结构整体刚度较大,曲线线性增长,迅速达到峰值;第Ⅱ阶段:先产生径向裂纹,在径向应力作用下生成圆形裂纹,裂纹扩展,曲线下降趋势;第Ⅲ阶段:PVB的吸能缓冲作用,使得风挡玻璃能持续承受载荷,曲线先上升后逐渐下降。


图1 人保护头部冲击试验


图2 行人保护投头部冲击试验加速度曲线

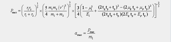
风挡玻璃冲击破坏的理论模型

根据赫兹弹性碰撞理论,头部模型和挡风玻璃可以简化为球体。头部模型的质量为m1,半径为r1,而挡风玻璃的质量和曲率半径分别为m2和r2。如图3所示,头部模型碰撞冲击速度为v。基于牛顿第二定律并考虑风窗玻璃夹层结构刚度,推导获得头部模型冲击风窗玻璃不同部位加速度峰值,与试验相比误差在10%以内,可用于汽车车身设计方案早期快速评估中。


图3 行人头部冲击风窗玻璃理论简化


图4 行人头部冲击风窗玻璃理论推导过程


头部撞击挡风玻璃的进场动力学仿真

头部模型由一层皮肤、一个覆盖板和一个内板组成,均采用六面体单元进行网格划分。此外,汽车模型包含与测试中涉及的挡风玻璃相关的组件。挡风玻璃的玻璃层使用28572个六面体单元进行网格划分,中间的PVB层使用14286个六面体单元进行网格划分。为了实现PD算法,将相邻玻璃单元连接处的节点分离,获得近场动力学使用的不连续单元。考虑到夹层玻璃粘接作用失效后的界面剥离现象,模拟了上下层玻璃与中间层PVB膜的粘接作用,如图5所示。图6和图7所示为头部冲击风挡玻璃裂纹演化的分析结果,头部HIC的仿真与试验误差在10%以内。


图5 头部冲击风挡玻璃进场动力学建模


图6 A点头部冲击风挡玻璃裂纹演化过程


图7 各点头部加速度试验与仿真对比

讨论

随着上层和下层玻璃厚度的增加,峰值加速度和HIC均有所增加。这归因于挡风玻璃整体厚度的增加,增强了其整体强度,从而导致更高的峰值加速度和HIC。随着下层玻璃厚度的增加,峰值加速度和HIC均有所增加。随着夹层PVB厚度的增加,峰值加速度和HIC均有所下降。这一现象源于挡风玻璃在夹层PVB膜厚度增大时,其能量吸收缓冲效果的增强,从而改善了头部保护,并最终导致峰值加速度和HIC的降低。


图8 风挡玻璃对头部伤害的影响趋势

结论

在本研究中,以挡风玻璃作为研究对象,调查了其失效模式和机械响应。行人保护头部冲击测试结果显示,挡风玻璃不同冲击点的头部加速度-时间曲线表现出相似的趋势。加速度峰值是影响HIC值的重要因素。开发的理论分析模型,可推导出了峰值加速度的数学表达式,计算结果与经验值的比较在10%以内,验证了该理论模型。基于近场动力学理论,模拟了假人行人头部与挡风玻璃的冲击,并获得了不同点的加速度-时间曲线。模拟的加速度曲线与测试结果一致。通过结合峰值加速度、HIC、裂纹形态和挡风玻璃中的裂纹扩展,验证了近场动力学方法在模拟挡风玻璃冲击损伤方面的性能,为全面评估挡风玻璃的冲击损伤奠定了基础。

原文链接:

https://www.sciencedirect.com/science/article/pii/S0734743X24001106

开云官方网页版官网全媒体中心出品

图文 | 新能源汽车研究中心团队

编辑 | 赵天柱 白清源 王浩龙

责任编辑 |张晟嘉 李俊杰 刘泽圳

审核 | 杨占力 王素丹 史振宇